新闻通知
当前位置: 首页>>新闻通知>>正文

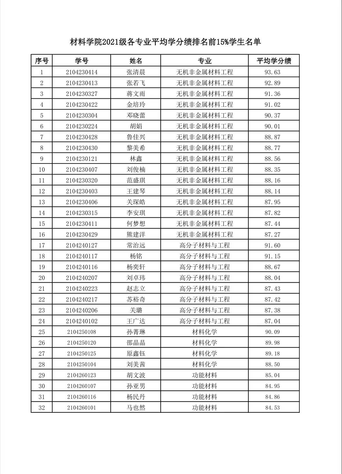
材料学院2021级本科生符合转专业条件学生名单

发布者: 编辑:材料学院-赵丽佳 发布时间:2022年07月19日 13:57 浏览次数:

序号

1

2104230414

张清晨

无机非金属材料工程

2

2104230304

邓晓蕾

无机非金属材料工程

3

2104230224

胡娟

无机非金属材料工程

4

2104230430

黎美希

无机非金属材料工程

5

2104230429

熊建洋

无机非金属材料工程

6

2104240127

常治远

高分子材料与工程

7

2104240116

杨奕轩

高分子材料与工程

8

2104240206

关璐

高分子材料与工程

9

2104240102

王广达

高分子材料与工程

附:材料学院2021级各专业平均学分绩排名前15%学生名单


材料学院

2022718



关闭

Copyright ? 2020 DB电竞(DBGame)官方网站 All Rights Reserved. 地址:辽宁省沈阳市浑南区浑南中路25号 DB电竞官方网站 丁2楼四楼